北大主页
联系我们
新闻公告
信管新闻
通知公告
讲座信息
走进信管
信管概况
机构设置
信管七十年
王重民先生专区
师资力量
图书馆学教研室
情报学教研室
大数据管理与应用教研室
图书馆发展研究室
文献与出版研究室
信息系统研究室
信息组织与信息设计研究室
情报分析研究室
信息行为研究室
行政教辅人员
所有人员
荣休教师
招生项目
本科项目
硕士项目
博士项目
在职培训
党建工作
组织架构
党建新闻
合作交流
国际交流
国内交流
会议信息
公共文化
学生发展
学生工作
学生科研
校园活动
实习实践
就业指导
图书资料
本馆概况
借阅规则
电子资源
首页
>
通知公告
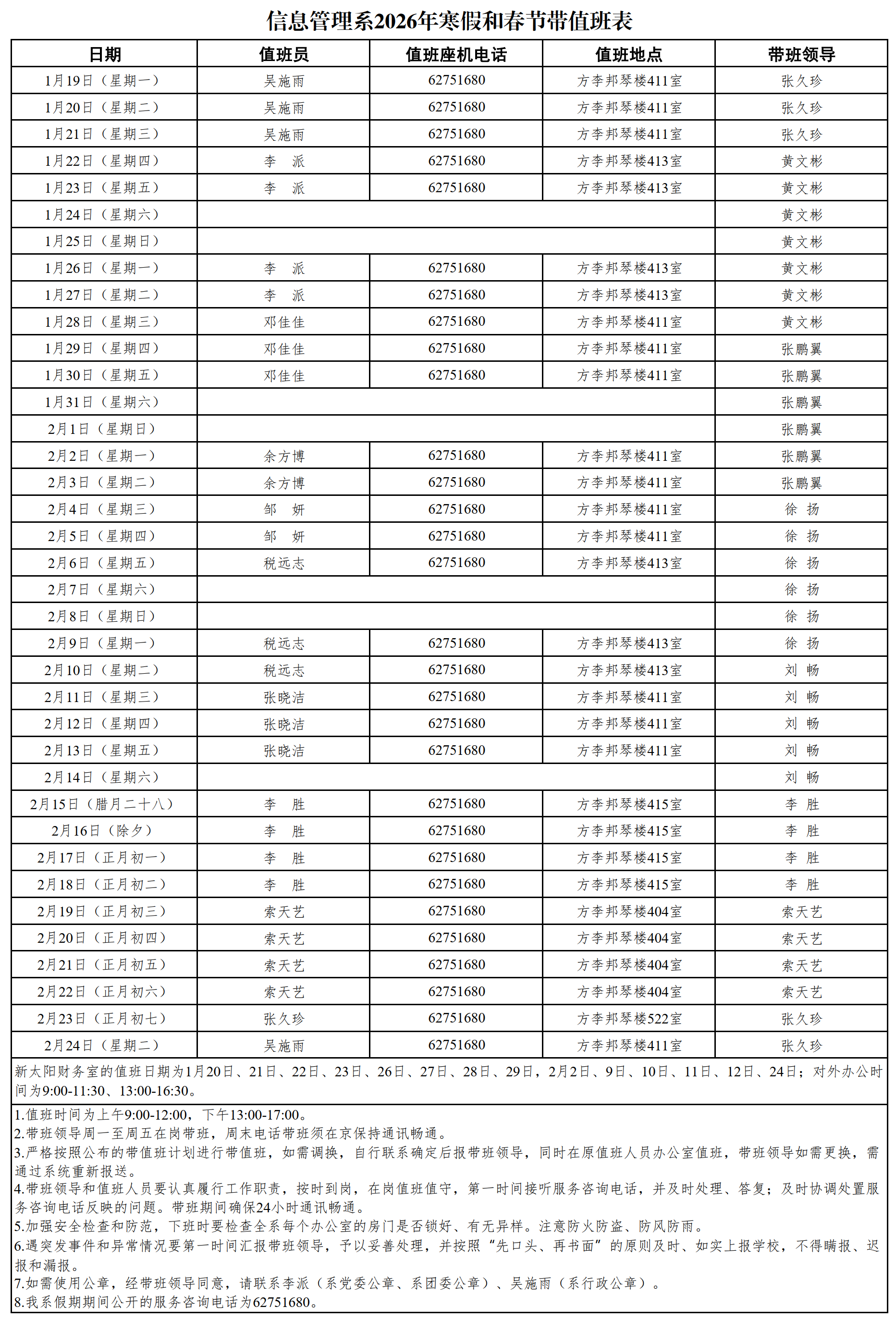
信息管理系2026年寒假和春节带值班安排表
2026-01-12
访问:
返回顶部
◆
◆